” Mesure d’une pression absolue avec un capteur MPX4250AP ”
. Objectif
Dans cette activité, nous allons simplement mettre en œuvre l’utilisation d’un capteur de pression dont la sortie est reliée à l’entrée A0 de l’Arduino (Cf. circuit d’étude), pour afficher dans le moniteur série, la tension mesurée et la pression correspondante après un appui sur le bouton poussoir. Un nouvel appui sur le bouton poussoir arrête les mesures.

. Le programme
Voici le code de l’activité :



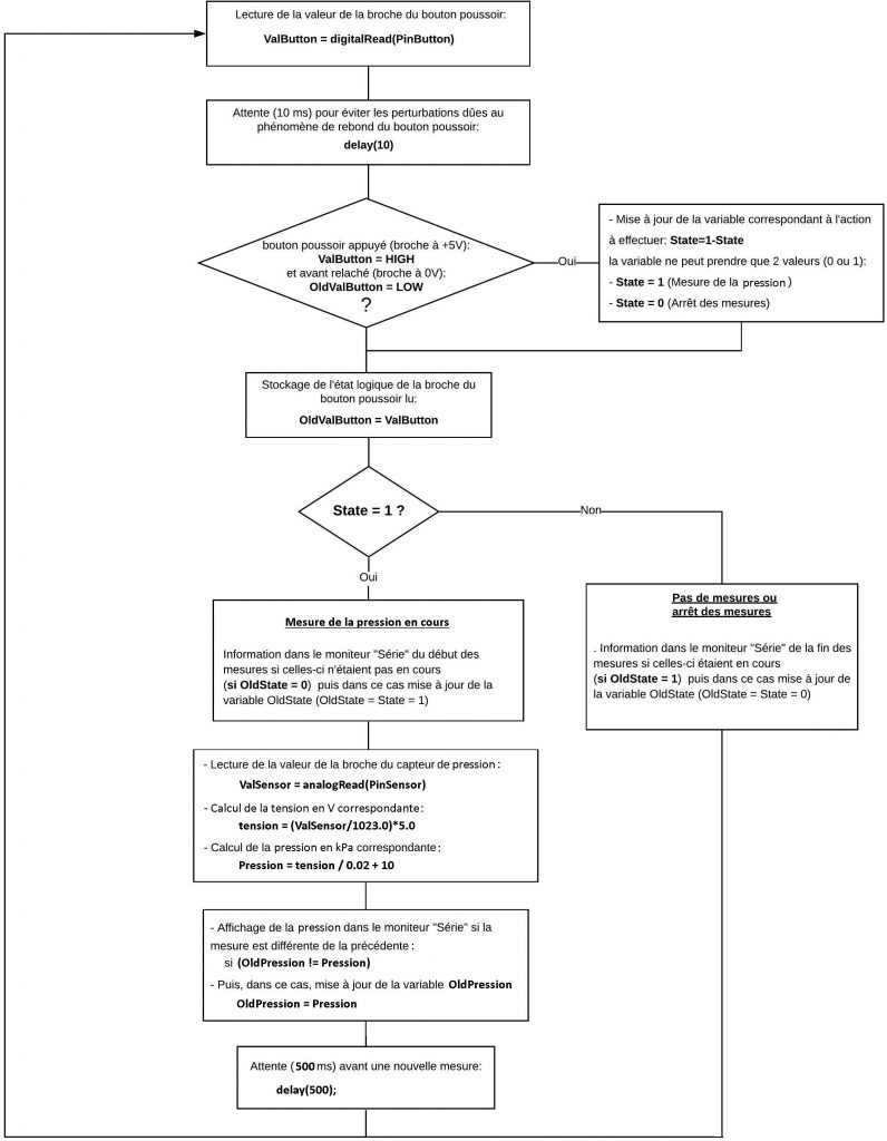
Déroulement du programme :
– 1. Déclaration des constantes et variables :
. const int PinSensor = 0 (broche du capteur de pression)
. const int PinButton = 12 (broche du bouton poussoir)
. int ValSensor = 0 (variable nombre entier pour stocker la valeur de la broche du capteur)
. float tension = 0.0 (variable nombre décimal pour stocker le résultat du calcul de la tension de la broche du capteur)
. float Pression = 0.0 (variable nombre décimal pour stocker le résultat du calcul de la pression)
. float OldTPression = 0.0 (variable nombre décimal pour stocker le résultat du calcul de la pression précédent)
. int ValButton = 0 (variable nombre entier pour stocker la valeur de la broche du bouton poussoir)
. int OldValButton = 0 (variable nombre entier pour stocker la valeur précédente de la broche du bouton poussoir)
. int State = 0 (variable nombre entier correspondant à l’action à effectuer)
. int OldState = 0 (variable nombre entier correspondant à l’action effectuée précédemment)
– 2. Initialisation des entrées et sorties :
. Initialisation de la liaison série à un débit de 9600 bauds
. Initialisation de la broche du bouton poussoir en entrée
– 3. Fonction principale en boucle :

Résultats dans le moniteur série :


