” Détermination de la capacité d’un condensateur par mesure d’une constante de temps ”
. Objectif
Dans cette activité, nous allons modifier le programme de l’activité 1 (étude de la charge d’un condensateur) de façon cette fois-ci à mesurer directement la constante de temps du circuit RC sans passer par le tracé de la caractéristique Uc=f(t).
On pourra alors déterminer la capacité d’un condensateur inconnu puisque :
τ = RC donc : C = τ / R

. Descriptif de l’activité
Lors de la charge d’un condensateur, nous avons vu, qu’au bout d’un temps égal à la constante de temps τ, le condensateur était chargé à 63 % de la tension appliquée au dipôle RC (ici, à t = τ : Uc= 0,63 x 5 = 3,15 V).
Avec le même circuit que les activités précédentes, pour déterminer la constante de temps, il suffit donc, par lecture de l’entrée analogique A0, de mesurer le temps que met cette entrée pour atteindre la valeur correspondant à la tension aux bornes du condensateur au temps τ, soit : 0,63 x 1023 = 644 (CAN 5 V = 1023).
Ainsi, après avoir déchargé le condensateur, la mesure de la tension aux bornes du condensateur Uc, lors de la charge, à l’aide de l’entrée analogique A0 est lancée, à t = 0 s, par un appui sur le bouton poussoir.
Quand la valeur de l’entrée analogique A0 souhaitée est atteinte, la constante de temps est alors calculée et affichée dans le moniteur série, puis le condensateur est déchargé.
Une nouvelle mesure est possible en appuyant de nouveau sur le bouton poussoir.
. Le programme
Voici le code de l’activité :


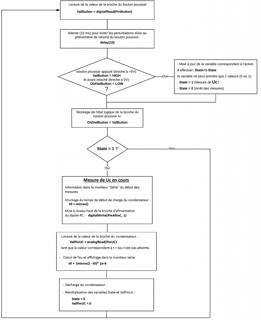
Déroulement du programme :
– 1. Déclaration des constantes et variables :
. const int PinUc = 0 (broche du condensateur : A0)
. const int PinButton = 12 (broche du bouton poussoir)
. const int PinAlimC = 2 (broche d’alimentation du dipôle RC)
. int ValPinUc = 0 (variable nombre entier pour stocker la valeur de la broche du condensateur)
. unsigned long t0 (variable nombre entier long pour stocker la date du début de charge )
. float dt (variable nombre décimal pour stocker la différence de temps entre les mesures de Uc)
. int ValButton = 0 (variable nombre entier pour stocker la valeur de la broche du bouton poussoir)
. int OldValButton = 0 (variable nombre entier pour stocker la valeur précédente de la broche du bouton poussoir)
. int State = 0 (variable nombre entier correspondant à l’action à effectuer)
– 2. Déclaration de fonctions :
–> Fonction permettant de décharger le condensateur :
– Mise à niveau bas de la broche d’alimentation du dipôle RC :
digitalWrite(PinAlimC, LOW)
– Attente de la fin de la décharge du condensateur :
while (analogRead(PinUC) > 0) )
– 3. Initialisation des entrées et sorties :
. Initialisation de la liaison série à un débit de 9600 bauds,
. Initialisation de la broche du bouton poussoir en entrée,
. Initialisation de la broche d’alimentation du dipôle RC en sortie,
. Décharge du condensateur.
– 4. Fonction principale en boucle :

Résultats dans le moniteur série

. Exploitation des mesures
Les valeurs de τ mesurées sont conformes à celles obtenues lors de la première activité.
On peut alors déterminer la capacité du condensateur (valeur théorique = 100 μF) :


