” Vérification de la loi de Boyle-Mariotte ”
. Objectif
L’objectif de cette activité est de vérifier la loi de Boyle-Mariotte à l’aide de notre capteur de pression MPX4250AP et de la seringue d’un volume utile de 60 mL suivant le même montage que l’activité précédente.

. Énoncé de la loi de Boyle-Mariotte
À température constante, pour une quantité de matière donnée de gaz, le produit de la pression P par le volume V de ce gaz ne varie pas :
P × V = constante
Si un gaz subit une transformation qui l’amène d’un état n°1 (son volume est V1 et sa pression P1) à un état n°2 (son volume est V2 et sa pression P2) alors la loi de Boyle-Mariotte peut s’écrire:
P1.V1 = P2.V2

Cette relation est valable à condition que:
– La transformation soit à température constante,
– Les deux pressions P1 et P2 soient exprimées dans la même unité de pression qui peut être le pascal, l’hectopascal, le bar, etc…,
-Les deux volumes soient exprimés dans la même unité de volume qui peut être le litre, le mètre cube, le centimètre cube, etc.
. Descriptif de l’activité
En déplaçant le piston, initialement placé sur la graduation 30 mL, on fait varier le volume de l’air enfermé dans le corps de la seringue reliée au capteur de pression.
Après avoir appuyé sur le bouton poussoir, le volume lu (entre 10 et 60 mL) sur le corps de la seringue est saisi au clavier dans le moniteur série.
La pression est ensuite mesurée par le capteur qui délivre une tension électrique proportionnelle à la pression. Une moyenne est réalisée sur dix mesures et le résultat de la pression moyenne (p en kPa) pour le volume (V en mL) est affiché dans le moniteur série.
Les mesures pour le volume V sont arrêtées en appuyant sur le bouton poussoir.
Une nouvelle mesure de la pression pour un volume différent est réalisable en appuyant de nouveau sur le bouton poussoir.
Il est donc possible d’acquérir des couples de données (p, V) afin de vérifier la loi de Boyle-Mariotte.
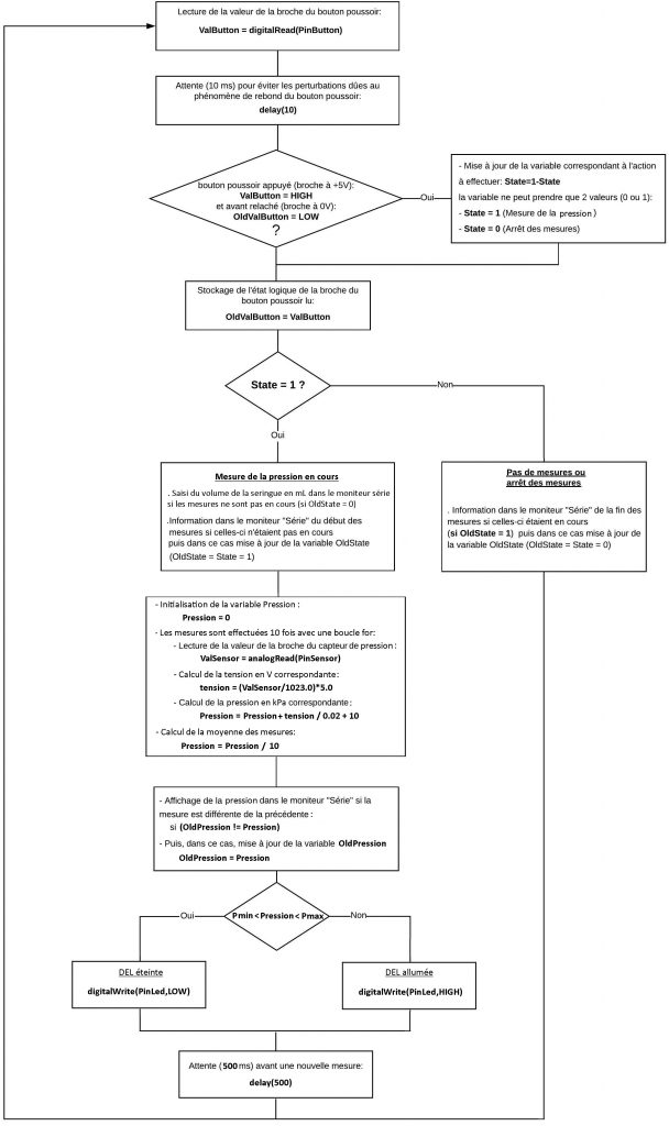
. Le programme
Voici le code de l’activité :



Remarque :
La DEL rouge est allumée si la pression est inférieure ou supérieure aux seuils de pression correspondant à un volume de 10 ou de 60 mL.
Déroulement du programme :
– 1. Déclaration des constantes et variables :
. const int PinSensor = 0 (broche du capteur de pression)
. const int PinButton = 12 (broche du bouton poussoir)
. const int PinLed = 9 (broche de la DEL)
. const int PMax = 200 (constante nombre entier correspondant à la valeur de la pression maximale en kPa)
. const int PMin = 55 (constante nombre entier correspondant à la valeur de la pression minimale en kPa)
. int ValSensor = 0 (variable nombre entier pour stocker la valeur de la broche du capteur)
. float tension = 0.0 (variable nombre décimal pour stocker le résultat du calcul de la tension de la broche du capteur)
. float Pression = 0.0 (variable nombre décimal pour stocker le résultat du calcul de la pression)
. float OldPression = 0.0 (variable nombre décimal pour stocker le résultat du calcul de la pression précédent)
. int Vol = 0 (variable nombre entier pour stocker la valeur du volume en mL)
. int ValButton = 0 (variable nombre entier pour stocker la valeur de la broche du bouton poussoir)
. int OldValButton = 0 (variable nombre entier pour stocker la valeur précédente de la broche du bouton poussoir)
. int State = 0 (variable nombre entier correspondant à l’action à effectuer)
. int OldState = 0 (variable nombre entier correspondant à l’action effectuée précédemment)
– 2. Initialisation des entrées et sorties :
. Initialisation de la liaison série à un débit de 9600 bauds
. Initialisation de la broche du bouton poussoir en entrée
. Initialisation de la broche de la DEL en sortie
– 3. Fonction principale en boucle :

Résultats dans le moniteur série :

. Exploitation des mesures
Pour exploiter les mesures, on peut dans un premier temps, copier/coller les résultats dans un fichier « csv » créé avec le bloc-notes de Windows, comme ci-dessous :

Puis ouvrir le fichier avec un tableur comme Regressi :

Pour les calculs, il ne faut pas oublier d’ajouter le volume d’air contenu dans le tuyau, qui relie la seringue et le capteur, au volume d’air de la seringue.
Pour cela, on va créer une grandeur, appelée Vc en mL, pour volume corrigé :

Le tuyau a un diamètre de 5 mm pour une longueur de 15 cm :
Vair tuyau ≅ 3 mL
Puis on crée une grandeur, appelée PV, de façon à déterminer la valeur de la constante de la loi de Boyle-Mariotte (en kPa.L) :


La constante de la loi de Boyle-Mariotte est d’environ 3,3 kPa.L
On peut tracer le graphe représentant la pression en fonction du volume corrigé :

Mais comme d’après la loi de Boyle-Mariotte :
P = k / V (où k est une constante en kPa.L),
Il est préférable de tracer le graphe représentant P = f (1/Vc).
Pour cela, on crée une grandeur, appelée invVc (en L-1), représentant l’inverse de Vc en L :

La représentation graphique de P = f(1/Vc) est alors :

La représentation graphique de P = f(1/Vc) peut être modélisée par une fonction linéaire :


On retrouve bien la valeur de la constante de la loi de Boyle-Mariotte d’environ 3,3 kPa.L approximée précédemment.

