” Thermomètre à diodes électroluminescentes ”
. Objectif
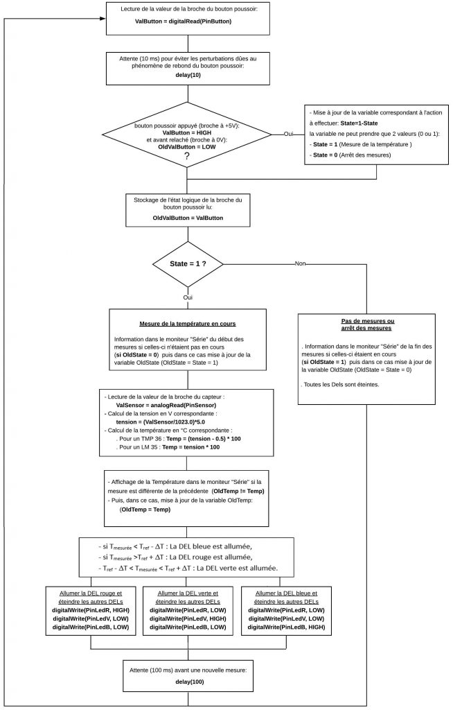
Dans cette activité, nous allons utiliser les DELS rouge, verte et bleue du circuit d’étude afin de visualiser la zone dans laquelle se situe la température mesurée (Tmesurée) par un capteur TMP 36 ou LM 35 par rapport à une valeur de référence (Tref) et un écart de température (ΔT) à définir :


. Le programme
Le code de l’activité pourra être modifié pour voir l’influence des variables (température de référence, écart de température).



Déroulement du programme :
– Déclaration des constantes et variables :

– Initialisation des entrées et sorties :

– Fonction principale en boucle :


