” Détermination de la vitesse du son dans l’air ”
. Objectif
Dans cette activité, nous allons déterminer expérimentalement la vitesse de propagation des ondes sonores en mesurant, à l’aide d’un capteur à ultrasons, le HC-SR04, la durée de propagation Dt de l’onde sonore entre l’émetteur et le récepteur situés à une distance d connue d’un obstacle avec notre circuit d’étude des ondes ultrasonores.
Les mesures de vitesse du son dans l’air commencent après un appui sur le bouton poussoir et sont arrêtées en appuyant de nouveau sur celui-ci.


. Le programme
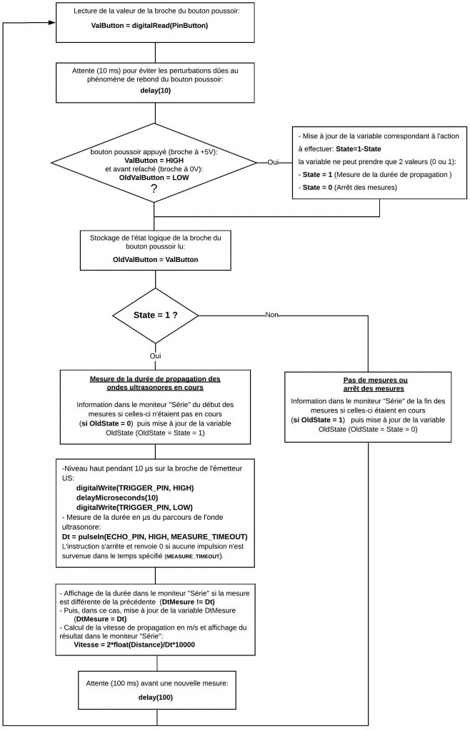
Voici le code de l’activité:



. Fonction “pulseIn()” :
. Description
Lit la durée d’une impulsion (soit niveau HAUT, soit niveau BAS) appliquée sur une broche configurée en entrée.
Par exemple, si le paramètre valeur est HAUT, l’instruction pulseIn() attend que la broche passe à HAUT, commence alors le chronométrage, attend que la broche repasse au niveau BAS et stoppe alors le chronométrage. L’instruction renvoie la durée de l’impulsion en microsecondes. L’instruction s’arrête et renvoie 0 si aucune impulsion n’est survenue dans un temps spécifié.
. Syntaxe
pulseIn(broche, valeur)
pulseIn(broche, valeur, delai_sortie)
. Paramètres
broche: le numéro de la broche sur laquelle vous voulez lire la durée de l’impulsion. (type int)
valeur: le type d’impulsion à « lire » : soit HIGH (niveau HAUT) ou LOW (niveau BAS). (type int)
delai_sortie (optionnel): le nombre de microsecondes à attendre pour début de l’impulsion. La valeur par défaut est 1 seconde. (type unsigned long)
. Valeur renvoyée :
La durée de l’impulsion (en µs) ou 0 si aucune impulsion n’a démarrer avant le délai de sortie (type unsigned long)
Déroulement du programme :
– Déclaration des constantes et variables :

– Initialisation des entrées et sorties :

– Fonction principale en boucle :

Résultats dans le moniteur série :


