” Détecteur d’obstacles ”
. Objectif
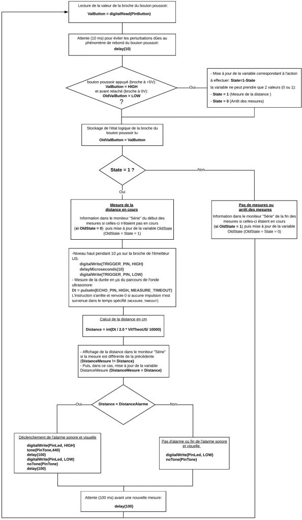
Comme il est possible de mesurer une distance avec un Arduino et un capteur à ultrasons, nous allons dans cette activité, réaliser un détecteur d’obstacle qui déclenchera une alarme lumineuse et sonore, avec la DEL et le buzzer de notre circuit d’étude des ondes ultrasonores, quand le capteur est situé en dessous d’une distance d fixée.

. Le programme
Dans le code de l’activité, la température de l’air est une variable qu’il est possible de modifier. La vitesse théorique du son dans l’air en fonction de la température indiquée est alors calculée et utilisée pour déterminer la distance entre le capteur et l’obstacle.
On pourra également modifier la distance minimale de déclenchement de l’alarme.


Déroulement du programme :
– Déclaration des constantes et variables :

– Initialisation des entrées et sorties :

– Fonction principale en boucle :

Résultats dans le moniteur série:


