” Mesure de distances ”
. Objectif
Maintenant que nous avons déterminé la célérité des ondes sonores dans l’air, dans cette activité, nous allons utiliser le capteur à ultrasons de notre circuit d’étude des ondes ultrasonores pour mesurer des distances, selon le même principe que l’activité précédente, en mesurant la durée de propagation Dt de l’onde sonore entre l’émetteur et le récepteur situés à une distance d inconnue d’un obstacle. C’est le principe du Sonar.
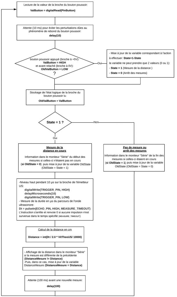
Les mesures de distance commencent après un appui sur le bouton poussoir et sont arrêtées en appuyant de nouveau sur celui-ci.

. Le programme
Dans le code de l’activité, la température de l’air est une variable qu’il est possible de modifier. La vitesse théorique du son dans l’air en fonction de la température indiquée est alors calculée et utilisée pour déterminer la distance entre le capteur et l’obstacle.


Déroulement du programme :
– Déclaration des constantes et variables :

– Initialisation des entrées et sorties :

– Fonction principale en boucle :

Résultats dans le moniteur série :


