« charge et décharge du condensateur
d’un dipôle RC »
Dans cet exemple d’acquisition, nous allons suivre l’évolution temporelle de la tension aux bornes d’un condensateur d’un dipôle RC à l’aide d’un Arduino Uno dont l’entrée analogique A0 est connecté à une borne du condensateur selon le montage suivant :


Avec ce montage, quand K2 est ouvert et K1 fermé, le condensateur se charge à travers la résistance R et inversement, quand K1 est ouvert et K2 fermé, le condensateur se décharge dans la résistance R.
1. Charge du condensateur
Afin de suivre l’évolution temporelle de la tension aux bornes du condensateur pendant sa charge, on s’assure dans un premier temps qu’il est complètement déchargé en ouvrant K1 et en fermant K2.
Il faut ensuite définir les paramètres de l’acquisition :
– Entrées analogiques : A0
– Durée totale d’acquisition : 10 s
En effet, la valeur théorique de τ (temps pour lequel le condensateur est chargé à 63 %) du dipôle RC est :
τ = RC = 10.103 x 100. 10-6 = 1 S
Avec une durée totale d’acquisition de 10 s, la charge sera complète.
– Période d’échantillonnage : 100 ms
– Déclenchement :
Afin d’acquérir uniquement la tension aux bornes du condensateur au cours de sa charge, l’acquisition sera déclenchée quand la tension mesurée sur A0 sera supérieure à 0,05 V avec un pré-trigger de 1% (1% de 10 s, soit 100 ms) afin d’observer le début de la charge.
Les paramètres de déclenchement seront donc :

Après avoir validé les paramètres (bouton « Appliquer »), l’acquisition est démarrée (clic sur la prise USB).
K2 est alors ouvert et K1 fermé. Quand la tension Uc, aux bornes du condensateur, est supérieur à 0,05 V, l’évolution temporelle de Uc est tracée.

A partir de l’onglet « Tableur », les données acquises peuvent être enregistrées dans un fichier .CSV ou exploitées à l’aide du tableur d’ArdPyLog :


La modélisation des mesures selon la fonction théorique de charge du condensateur d’un dipôle RC, Uc=f(t), donne :

Par la modélisation, la détermination de τ (τ=1,03 s) donne une valeur très proche de la valeur théorique (τ = 1,0 s).

2. Décharge du condensateur
Afin de suivre l’évolution temporelle de la tension aux bornes du condensateur pendant sa décharge, on s’assure dans un premier temps qu’il est complètement chargé en fermant K1 et en ouvrant K2.
Il faut ensuite définir les paramètres de l’acquisition :
– Entrées analogiques : A0
– Durée totale d’acquisition : 10 s
En effet, la valeur théorique de τ (temps pour lequel le condensateur est déchargé à 37 %) du dipôle RC est :
τ = RC = 10.103 x 100. 10-6 = 1 S
Avec une durée totale d’acquisition de 10 s, la décharge sera complète.
– Période d’échantillonnage : 100 ms
– Déclenchement :
Afin d’acquérir uniquement la tension aux bornes du condensateur au cours de sa décharge, l’acquisition sera déclenchée quand la tension mesurée sur A0 sera inférieure à 4,95 V avec un pré-trigger de 1% (1% de 10 s, soit 100 ms) afin d’observer le début de la décharge.
Les paramètres de déclenchement seront donc :

Après avoir validé les paramètres (bouton « Appliquer »), l’acquisition est démarrée (clic sur la prise USB).
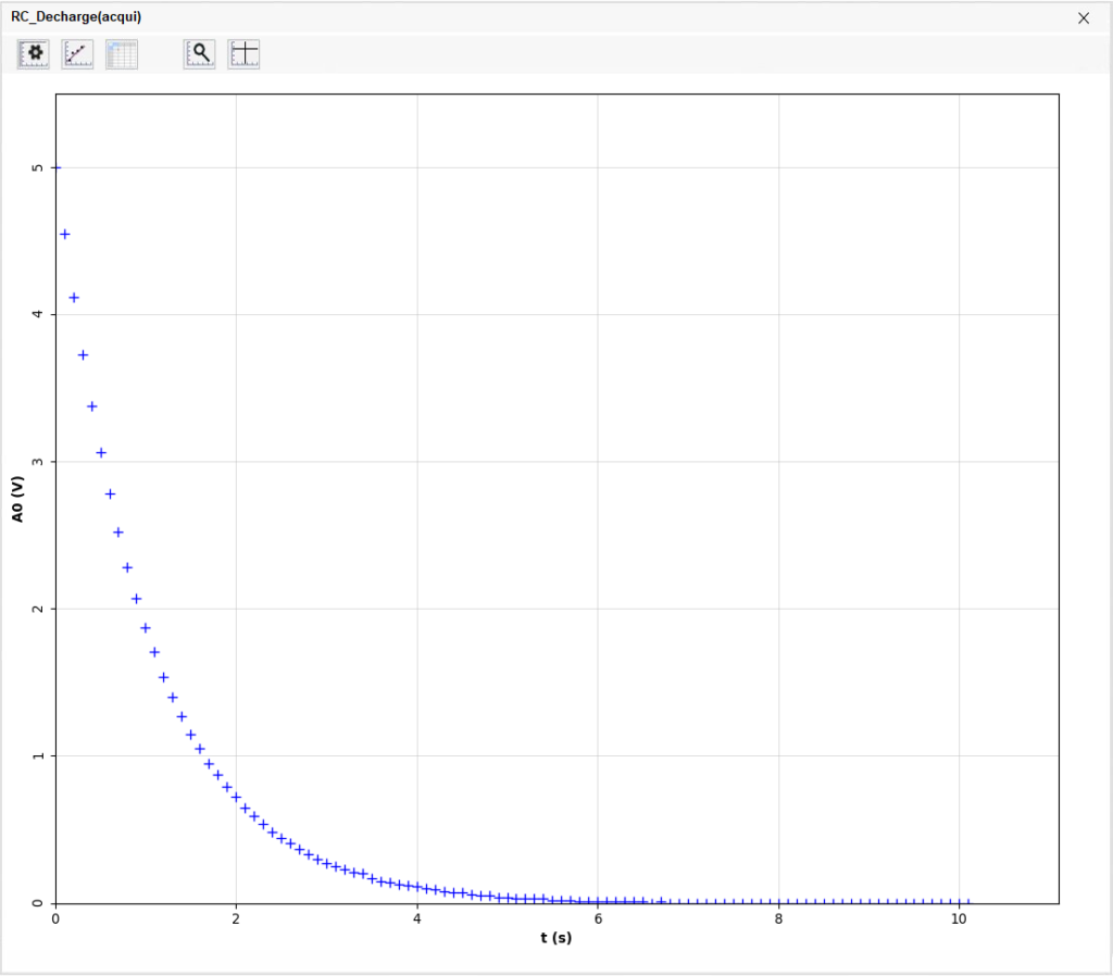
K1 est alors ouvert et K2 fermé. Quand la tension Uc, aux bornes du condensateur, est inférieur à 4,95 V, l’évolution temporelle de Uc est tracée.

A partir de l’onglet « Tableur », les données acquises peuvent être enregistrées dans un fichier .CSV ou exploitées à l’aide du tableur d’ArdPyLog :


La modélisation des mesures selon la fonction théorique de décharge du condensateur d’un dipôle RC, Uc=f(t), donne :

Par la modélisation, la détermination de τ (τ=1,03 s) donne une valeur très proche de la valeur théorique (τ = 1,0 s).


