” Alarme sonore par dépassement de température ”
. Objectif
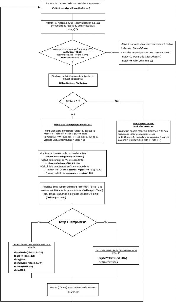
L’objectif de cette activité est de réaliser une alarme sonore et visuelle qui se déclenchera lorsque la température mesurée par le capteur TMP 36 ou LM 35 de notre circuit d’étude est supérieure à une valeur seuil à définir, permettant, par exemple, de prévenir un utilisateur du dépassement de la température d’utilisation d’un matériel.

Il suffit pour cela de reprendre le programme de l’activité précédente, auquel nous allons ajouter le code de l’alarme sonore et visuelle déjà vu.
Les mesures de température commencent après un appui sur le bouton poussoir et sont arrêtées en appuyant de nouveau sur celui-ci.
. Le programme
Le code de l’activité pourra être modifié pour voir l’influence des variables (seuil de température, fréquence de l’onde sonore, durée d’émission, durée de silence).


Déroulement du programme :
– Déclaration des constantes et variables :

– Initialisation des entrées et sorties :

– Fonction principale en boucle :

Résultats dans le moniteur série :


