”Détermination de la vitesse du son dans l’air”

Dans cette activité, nous allons déterminer expérimentalement la vitesse de propagation des ondes sonores en mesurant, à l’aide d’un capteur à ultrasons (par exemple, le HC-SR04), la durée de propagation, Dt, de l’onde sonore entre l’émetteur et le récepteur situés à une distance, d, connue d’un obstacle.


ARDUINO LAB – Fenêtre « Projet 4 – Activité 1 »
Après avoir cliqué sur la prise USB, un menu permettant de régler la distance entre le capteur et l’obstacle, et la température de l’air, est affiché.
Si le mode de fonctionnement est le ”contrôle de l’Arduino”, un appui sur le bouton poussoir réel ou virtuel déclenche la mesure de la durée de propagation de l’onde ultrasonore. Celle-ci est affichée, dans le menu ”Résultats”.
La vitesse de propagation en m/s est alors calculée et affichée. La vitesse théorique du son dans l’air en fonction de la température indiquée est également affichée afin de pouvoir la comparer à la valeur déterminée expérimentalement.
En mode ”simulation”, ARDUINO LAB utilise la valeur théorique de la vitesse de propagation des sons dans l’air à la température indiquée par l’utilisateur et affiche la durée de propagation de l’onde calculée avec cette valeur.


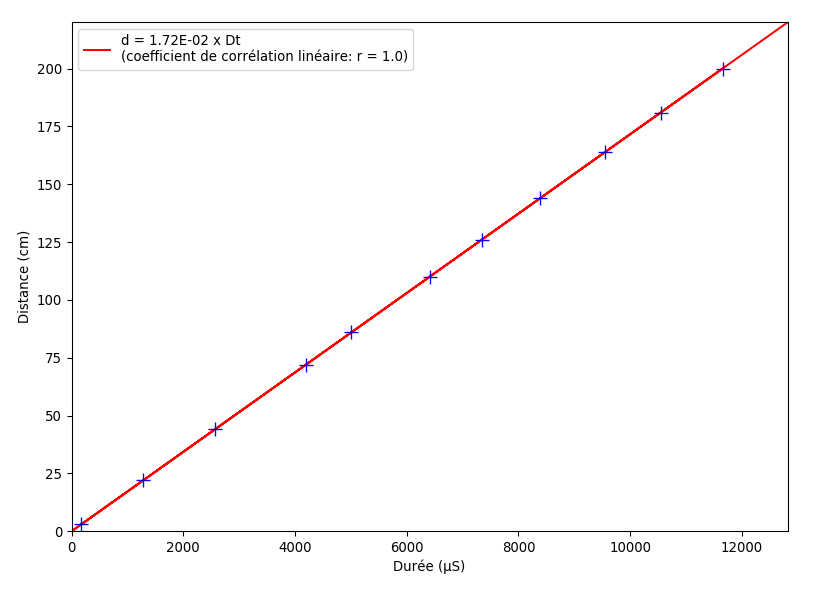
Il est possible d’enregistrer plusieurs durées de propagation pour différentes distances et de représenter graphiquement la distance en fonction de la durée afin de déterminer une vitesse moyenne du son dans l’air en cliquant sur :

Une nouvelle fenêtre est alors affichée :

En mode ”contrôle de l’Arduino”, il suffit de positionner le capteur ultrasonique virtuel à la même distance que le capteur réel, la durée de propagation de l’onde est alors affichée.
Puis afin d’enregistrer les valeurs, de cliquer sur :
pour effacer un point, cliquer sur :


Les valeurs de distance et de durée de propagation sont affichées dans le tableur et le graphe est tracé automatiquement.


En mode ”simulation”, la durée de propagation est calculée, en utilisant la valeur théorique de la vitesse des sons dans l’air à la température indiquée et la distance choisie par l’utilisateur.
La modélisation de la distance en fonction de la durée est réalisée en appuyant sur :

On rappelle que la vitesse de propagation de l’onde ultrasonore est :

La modélisation de d = f(Dt) est alors : y = a x (régression linéaire)
Où a est le coefficient directeur de la droite, avec : a = V / 2
On en déduit alors : V = 2 a
Attention :
Les mesures effectuées sont exprimées en cm pour la distance et en µS pour la durée. La vitesse calculée est donc en cm/µS. Il faut multiplier le résultat par 10000 pour obtenir une vitesse en m/s.
La droite de modélisation est alors affichée :

. Les données peuvent être enregistrées dans un fichier csv en cliquant sur :
. Un fichier de mesures est ouvert en cliquant sur :
. Un nouveau fichier de mesure est créé en cliquant sur :



La fenêtre ”Détermination de la vitesse du son dans l’air” est fermée en cliquant sur :

Les mesures sont arrêtées en appuyant de nouveau sur le bouton poussoir réel ou virtuel, en mode ”Contrôle de l’Arduino”, ou virtuel en mode ”Simulation”.
A tout moment, il est possible de visualiser le code et son algorithme, programmé en langage Arduino IDE ou en Python, permettant de réaliser cette activité, en cliquant sur les boutons :



