”Alarme sonore par dépassement de température”

. Objectif
L’objectif de cette activité est de réaliser une alarme sonore et visuelle qui se déclenchera lorsque la température mesurée par un capteur TMP 36 ou LM 35 est supérieure à une valeur seuil à définir, permettant, par exemple, de prévenir un utilisateur du dépassement de la température d’utilisation d’un matériel.
Il suffit pour cela de reprendre le programme de l’activité précédente, auquel nous allons ajouter le code de l’alarme sonore et visuelle déjà vu.
Les mesures de température commencent après un appui sur le bouton poussoir et sont arrêtées en appuyant de nouveau sur celui-ci.
. Le programme
Le code de l’activité en Python ou en langage Arduino pourra être modifié pour voir l’influence des variables (seuil de température, fréquence de l’onde sonore, durée d’émission, durée de silence).
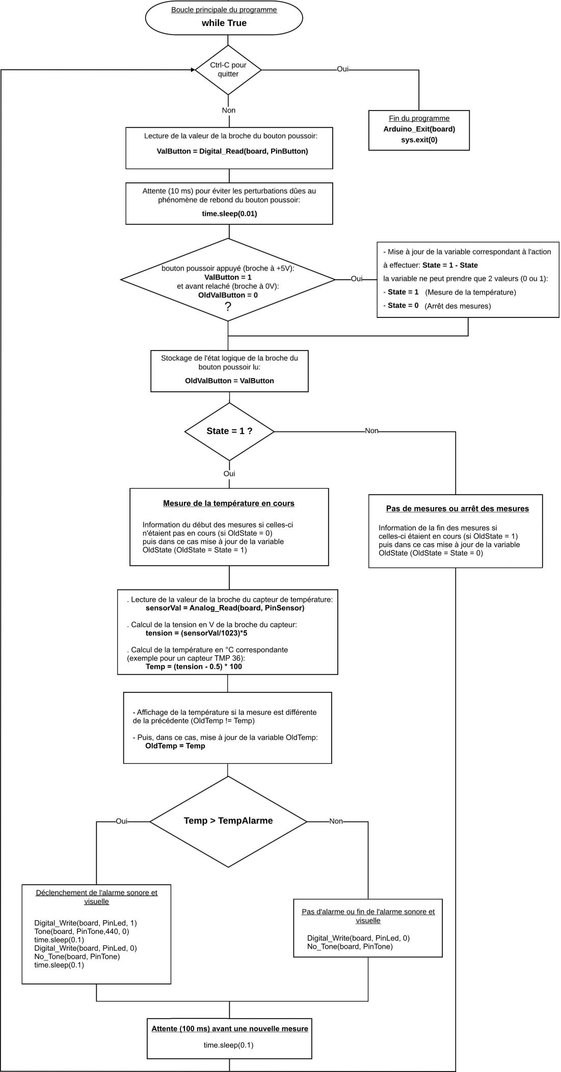
. Programme en Python (”Projet5\Activity2\PY\Activity2.py”)
Déroulement du programme :
– Importation des librairies et définition de fonctions :
. Le module ”ConnectToArduino.py”, contenant les fonctions de connexion à l’Arduino via le protocole ”Firmata Express”,
. Le module ”PymataExpressDef.Py” regroupant toutes les fonctions utiles à l’utilisation de ”Pymata-express” (fonction de déclaration des entrées et sorties, de lectures, d’écritures…),
. La bibliothèque ”time” pour la gestion des temps de pause.
– Déclaration des constantes et variables :
. PinSensor = 0 (cst correspondant au n° de la broche A0 sur laquelle le capteur de température est connecté)
. ValSensor = 0 (variable pour stocker la valeur de la broche du capteur de température)
. tension = 0 (variable correspondant à la valeur de la tension en V de la broche du capteur de température)
. Temp = 0 (variable correspondant à la température en °C calculée à partir de la valeur de la broche du capteur)
. OldTemp = 0 (variable correspondant à la température en °C calculée précédemment)
. TempAlarme = 22.0 (cst correspondant à la température du seuil de déclenchement de l’alarme)
. PinButton = 12 (cst correspondant au n° de la broche sur laquelle le bouton poussoir est connecté)
. PinLed = 8 (cst correspondant au n° de la broche sur laquelle la DEL est connectée)
. PinTone = 3 (cst correspondant au n° de la broche sur laquelle le buzzer est connecté)
. ValButton = 0 (variable pour stocker la valeur de l’état logique de la broche du bouton poussoir)
. OldValButton = 0 (variable pour stocker la valeur précédente de l’état logique de la broche du bouton poussoir)
. State=0 (variable correspondant à l’action à effectuer)
. OldState = 0 (variable pour stocker la valeur précédente de la variable state)
. PortComArduino (port COM sur lequel l’Arduino est connecté)
– Connexion à l’Arduino :
. Détection du port COM, tentative d’ouverture du port COM sélectionné et connexion à l’Arduino:
PortComArduino = SelectPortCOM()
board = OpenPortCom(PortComArduino)
. Si la connexion à l’Arduino est réussie :
– Déclaration de la broche du capteur de température en entrée analogique :
Set_AnalogInput_Pin(board, PinSensor)
– Déclaration de la broche de la DEL en sortie numérique :
Set_DigitalOutput_Pin(board, PinLed)
– Déclaration de la broche du bouton poussoir en entrée numérique :
Set_DigitalInput_Pin(board, PinButton)
– Déclaration de la broche du buzzer en mode ”Tone” :
Set_Tone_Pin(board,PinTone)
– Boucle principale du programme (boucle ”while True”) :

Résultats dans la fenêtre Python Shell :

. Programme en langage Arduino (”Projet5\Activity2\INO\Activity2.ino”)
Le code de l’activité en langage Arduino a déjà été étudié dans la partie:
”Activités pour les lycées / Températures / Activité 2”


