”Etude de la charge d’un condensateur
d’un dipôle RC”

. Objectif
L’objectif de l’activité est suivre l’évolution temporelle de la tension aux bornes du condensateur lors de sa charge afin de vérifier la relation :

. Descriptif de l’activité
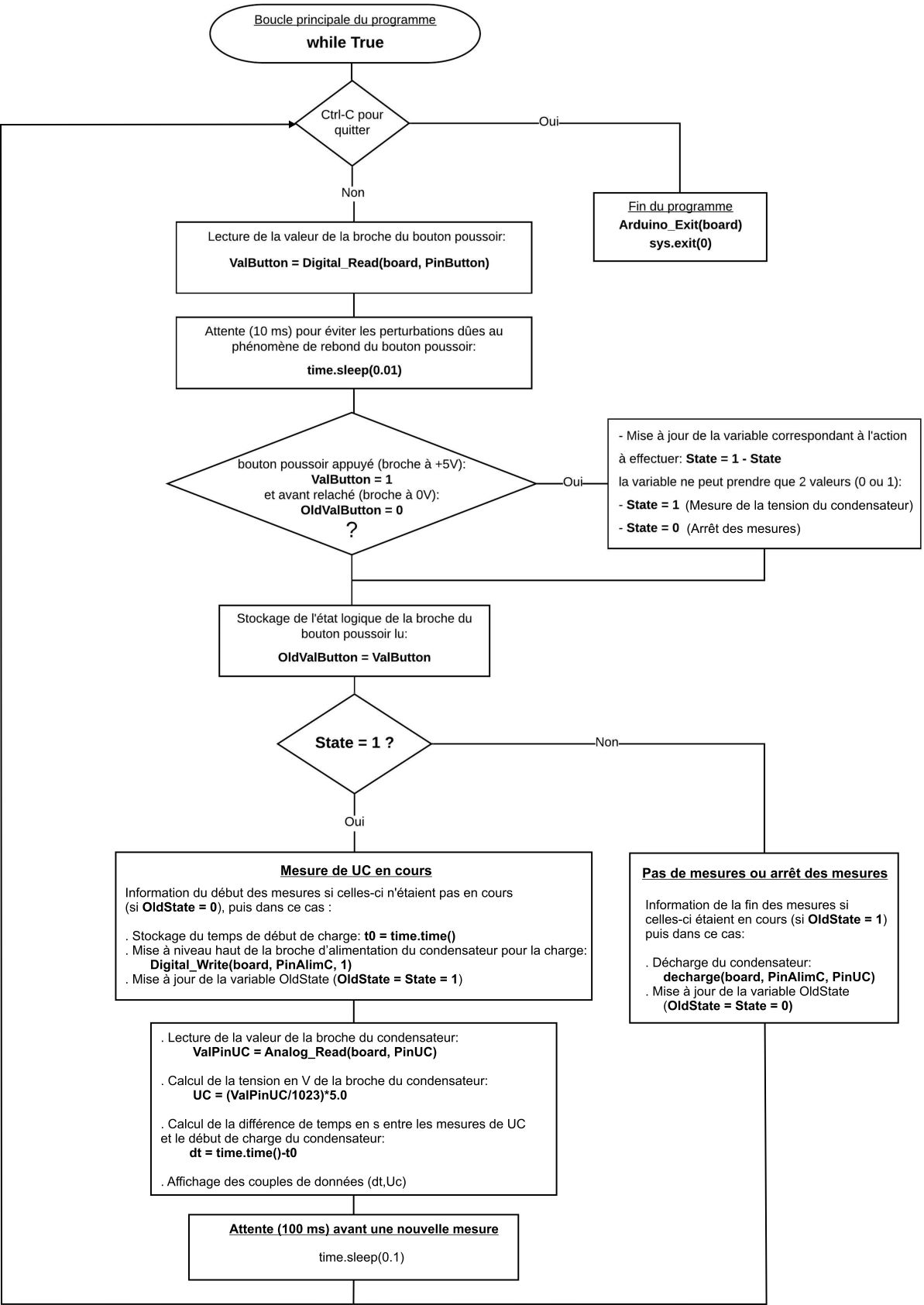
Après avoir déchargé le condensateur, la mesure de la tension aux bornes du condensateur Uc, lors de la charge, à l’aide de l’entrée analogique A0 est lancée, à t = 0 s, par un appui sur le bouton poussoir.
La valeur de la tension en V est affichée dans la console Python ou le moniteur série toutes les 100 ms.
Les mesures sont arrêtées en appuyant sur le bouton poussoir. Le condensateur est alors déchargé afin de pouvoir effectuer de nouvelles mesures en appuyant de nouveau sur le bouton poussoir.
Il est donc possible d’acquérir des couples de données (t, Uc) afin de vérifier la relation Uc= f(t) théorique.
. Le programme
Voici le code de l’activité en Python et en langage Arduino :
. Programme en Python (”Projet7\Activity1\PY\Activity1.py”)
Déroulement du programme :
– Importation des librairies et définition de fonctions :
. Le module ”ConnectToArduino.py”, contenant les fonctions de connexion à l’Arduino via le protocole ”Firmata Express”,
. Le module ”PymataExpressDef.Py” regroupant toutes les fonctions utiles à l’utilisation de ”Pymata-express” (fonction de déclaration des entrées et sorties, de lectures, d’écritures…),
. La bibliothèque ”time” pour la gestion des temps de pause,
. La fonction ”décharge” pour décharger le condensateur avant l’étude de la charge.
– Déclaration des constantes et variables :
. PinUc = 0 (cst correspondant au n° de la broche A0 sur laquelle le condensateur est connecté)
. PinAlimC = 2 (cst correspondant au n° de la broche alimentant le dipôle RC)
. ValPinUC = 0 (variable pour stocker la valeur de la broche du condensateur)
. Uc = 0.0 (variable pour stocker le résultat du calcul de la tension aux bornes du condensateur)
. t0 = 0 (variable pour stocker le temps de début de charge du condensateur)
. dt = 0 (variable correspondant à la différence de temps en s entre les mesures de tension du condensateur et le temps de début de charge)
. PinButton = 12 (cst correspondant au n° de la broche sur laquelle le bouton poussoir est connecté)
. ValButton = 0 (variable pour stocker la valeur de l’état logique de la broche du bouton poussoir)
. OldValButton = 0 (variable pour stocker la valeur précédente de l’état logique de la broche du bouton poussoir)
. State=0 (variable correspondant à l’action à effectuer)
. OldState = 0 (variable pour stocker la valeur précédente de la variable State)
. PortComArduino (port COM sur lequel l’Arduino est connecté)
– Connexion à l’Arduino :
. Détection du port COM, tentative d’ouverture du port COM sélectionné et connexion à l’Arduino:
PortComArduino = SelectPortCOM()
board = OpenPortCom(PortComArduino)
. Si la connexion à l’Arduino est réussie :
– Déclaration de la broche du condensateur en entrée analogique :
Set_AnalogInput_Pin(board, PinUC)
– Déclaration de la broche du bouton poussoir en entrée numérique :
Set_DigitalInput_Pin(board, PinButton)
– Déclaration de la broche alimentant le dipôle RC en sortie numérique :
Set_DigitalOutput_Pin(board, PinAlimC)
– Décharge du condensateur :
–> Appel de la fonction ”decharge” : decharge(board, PinAlimC, PinUC)
. Mise à niveau bas de la broche d’alimentation du dipôle RC:
Digital_Write(board, pinalim, 0)
. Attente de la décharge totale du condensateur:
while Analog_Read(board, pinU) > 0:
time.sleep(0.2)
– Boucle principale du programme (boucle ”while True”) :

Résultats dans la fenêtre Python Shell:

. Programme en langage Arduino (”Projet7\Activity1\INO\Activity1.ino”)
Le code de l’activité en langage Arduino a déjà été étudié dans la partie:
”Activités pour les lycées / Dipôles RC / Activité 1”
. Exploitation des mesures
L’exploitation des mesures a également déjà été étudiée dans la partie:
”Activités pour les lycées / Dipôles RC / Activité 1 / Exploitation des mesures”


